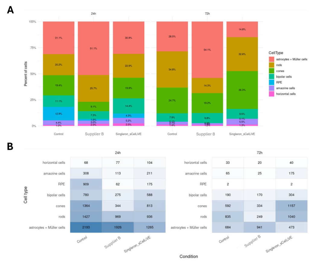
Tissue Preservation is the Unsung Hero of a Successful Single Cell Experiment 11.03.20265’ Review Why Tissue Preservation is the First Important Step of your ExperimentIn single cell sequencing analysis, we often focus on the final data output. On comprehensive UMAP plots, rare cell populations or cell states, and on granular insights into disease mechanisms. And still, even the most sophisticated bioinformatics pipeline cannot compensate for poor input sample quality. If your journey begins with poor quality, it likely ends with compromised data. Hence, tissue preservation is arguably one of the most critical steps in any successful single cell project. Luckily it is also one of the steps, that we have put lots of brainpower to improve.Quick side note: here we discuss how to best improve the quality of fresh samples for single cell sequencing. Obviously, there are also ways to obtain high quality data from tissues or samples not suitable for preservation and fresh processing. If you are facing challenges such as difficult-to-dissociate tissues, keep losing specific sensitive cell types, or simply can’t proceed with fresh tissue due to your workflow, please contact us and our tech support team will sit down with you to find a solution and make your experiment a success.Tissue Preservation Solutions Give you Additional Processing TimeThe moment you resect or harvest a tissue, you remove it from its native physiological environment. Without immediate processing, cells might experience stress leading to transcriptomic changes and metabolic shifts. However, sometimes processing samples immediately isn’t feasible. Whether initial assessment such as histological analysis is performed to verify eligibility of the sample or transportation to the processing lab is required, the time between collection and dissociation is where you may lose some data quality.“The ability to preserve cells for up to three days allows sample collection away from the processing laboratory. We never thought we could just send out mouse hearts and get valuable data on neutrophils back.” — Prof. Dr. rer. nat. Margarete Odenthal, University of Cologne, GermanysCelLiVE Tissue Preservation Buffer can Make all the DifferenceAt Singleron, we developed the sCelLiVE® tissue preservation solution to bridge the gap from tissue harvesting to processing. We recognize that high-quality single cell sequencing requires high-quality, viable tissue that maintains the transcriptome profiles.sCelLiVE is a preservation buffer that was carefully optimized to keep cells in their physiological state for up to 72 hours at 2–8°C. Therefore, sCelLiVE maintains the cell’s natural state.Key benefits include:True Gene Expression Profiles: By simulating the physiological environment, sCelLiVE ensures that the gene expression patterns you analyze reflect the expression profiles of that tissue in vivo. This ensures your data are not a result of stress-induced changes during storage.Versatility: Validated across 400+ tissue typesOperational Freedom: The ability to preserve samples for three days means your lab workflow is no longer dictated by the logistical obstacles of immediate processing.“What I appreciated the most was the ability to preserve fragile tissue-resident dendritic cells and obtain high-quality data from extremely rare populations, which would have been difficult to achieve with standard approaches.” — Dr. Giuseppe Rocca, Postdoctoral Researcher, Dept. of Biotechnology and Biosciences, University of Milano-BicoccaIndependent Experimental Assessment of Different Preservation SolutionsSimone Picelli, Head Single Cell Genomics Platform at the Institute of Molecular and Clinical Ophthalmology in Basel, Switzerland, compared the performance of Singleron’s sCelLiVE to another commercially available preservation solution (Supplier B). The authors examined effects of the preservation solution on the whole transcriptome in human retinal organoids at 24h and 72h post tissue collection. Notably, organoid age differed for the two timepoints with 30 weeks old organoids being used for the 24h timepoint and 28-weeks old organoids being used for the 72h timepoint.Organoids, approx. 2x2mm, were stored in preservation solutions for 24h or 72h at 4°C, while controls were processed directly after harvesting.To investigate the overall health of cells after being stored in preservation buffer, 3 marker sets were used. A set encompassing immediate early genes including FOS, FOSB, JUN, JUNB, EGR1 and ATF3. Heat shock genes including HSPA1A, HSPA1B, HSPB1, and DNAJB1. And apoptotic markers DDIT3, BBC3, and BAX. Both preservation solutions did not show significantly impact on cell health compared to the fresh controls.Cell type distribution remains close to the original for 72h of tissue preservationA and B) UMAPs are colored by condition or timepoint (SCT integrated). C) UMAP colored by cell type. Because the overall transcriptomic landscape is preserved, data imply that different storage conditions did not create artificial cell populations. However, and not unexpectedly slight overall transcriptomic changes were observed after 72h preservation. Thus, a short preservation period is still recommended and preferred over maximum of 72h.Cell type compositions differ depending on the preservation solution used. Especially, after 72h the Supplier B’s preservation solution favors glial cells (astrocytes and Müller cells), while Singleron’s sCelLiVE better preserves photoreceptors (rods and cones).sCelLiVE preserved cell better represent original cell type compositionTo investigate which of the samples best represents a retina cell atlas according to literature, a Pearson correlation was performed. As expected, the controls showed best correlation to the retina cell atlas across all cell types. Notably, Singleron’s sCelLiVE preserved samples showed a generally better correlation to reference cell types. They particularly outperformed in terms of correlation for photoreceptors (rods and cones) and most interneurons. Supplier B’s solution performed slightly better in preserving glial cells (astrocytes and Müller cells) and amacrine cells.In conclusion, Picelli showed that tissue preservation works very well for 24h and results are similar to fresh controls. As expected, changes can be observed over time and a storage course for longer than 72h is not recommended. Overall, Singleron’s sCelLiVE tissue preservation solution rendered results closer to the fresh controls than Supplier B’s solution.Interested in more data or would like to know which preservation solutions were tested? Please contact us here.What Other Researchers Are SayingWe’ve seen firsthand how this shift in sample handling changes the scope of research:“We worked with Singleron on several scRNAseq projects and were pleasantly surprised to see how well the technology worked on clinical biopsy samples. This type of analysis on tiny biopsies had been very difficult if not impossible to do in the past, due to the loss of cells and cell viability during transport. […]” — Prof. Dr. Hauke Busch, Professor of Systems Medicine, University of Lübeck.“I did not imagine that conducting single cell experiments could be made so easy, simply ship my fresh tissue in their buffer, then get fully analyzed results.” — Kristina Xiao Liang, DDS, PhD, University of Bergen, Norway.Additional information: Visualization of sCelLiVE Tissue Dissociation Kit WorkflowThis video provides a visual overview of how the sCelLiVE kit streamlines the transition from raw tissue to a high-viability single-cell suspension. Learn more Fundamentals of Single Cell SequencingThis video provides an overview of Singleron’s single-cell solutions, including the sCelLiVE preservation and dissociation workflow, illustrating how these tools streamline the transition from tissue to data. Learn moreLiked what you read? Liked what you read?Subscribe to our newsletter to receive the latest single cell updates in your inbox!Sign upA post by Samantha LangerSamantha is defined by her journey from the lab bench to strategic leadership. Her scientific foundation, rooted in a PhD in Molecular Biology and hands-on experience as an Application Scientist, provides a critical advantage. She has supported researchers across complex areas like oncology, hematology, and niche fields like gravitational biology, giving her a comprehensive view of scientific challenges.As Senior Marketing Manager, she directs the team and drives the strategic vision for the European market. Samantha is focused on creating and managing digital campaigns that ensure maximum market recognition and commercial success. Her mission is to effectively bridge Singleron’s innovative technologies with the researchers who rely on them to achieve their next major scientific breakthrough.Check out our latest blog posts Learn more 26.03.27 AI Virtual Cell Data Generation: What Data Do These Models Actually Need? Every AI model is only as good as the data behind it. Large language models need text. Image generators need training photos. And AI virtual… Read more 26.03.15 AI Virtual Cell Model (AIVC) What if we could observe how a human cell responds to a drug, a genetic change, or an environmental shift—without performing a single wet‑lab experiment?… Read more 26.02.23 Full Transcriptome Insight from Single Cell Sequencing Why Single Cell Whole Transcriptome Sequencing Standard single-cell RNA sequencing (scRNA-seq) provides only a partial view of cellular activity. mRNA comprises only a few percent… Read more fresh samplessingle cell sequencingtissue preservation
26.03.27 AI Virtual Cell Data Generation: What Data Do These Models Actually Need? Every AI model is only as good as the data behind it. Large language models need text. Image generators need training photos. And AI virtual… Read more
26.03.15 AI Virtual Cell Model (AIVC) What if we could observe how a human cell responds to a drug, a genetic change, or an environmental shift—without performing a single wet‑lab experiment?… Read more
26.02.23 Full Transcriptome Insight from Single Cell Sequencing Why Single Cell Whole Transcriptome Sequencing Standard single-cell RNA sequencing (scRNA-seq) provides only a partial view of cellular activity. mRNA comprises only a few percent… Read more